爆炸危险环境电力装置设计规范
编号:GB50058-20145.2
爆炸性环境电气设备的选择
5.2.1 在爆炸性环境内,电气设备应根据下列因素进行选择:
1
爆炸危险区域的分区;
2 可燃性物质和可燃性粉尘的分级;
3 可燃性物质的引燃温度;
4
可燃性粉尘云、可燃性粉尘层的最低引燃温度。
5.2.2 危险区域划分与电气设备保护级别的关系应符合下列规定:
1
爆炸性环境内电气设备保护级别的选择应符合表5.2.2-1的规定。

2
电气设备保护级别(EPL)与电气设备防爆结构的关系应符合表5.2.2-2的规定。



注:①在1区中使用的增安型“e”电气设备仅限于下列电气设备:在正常运行中不产生火花、电弧或危险温度的接线盒和接线箱,包括主体为“d”或“m”型,接线部分为“e”型的电气产品;按现行国家标准《爆炸性环境
第3部分:由增安型“e”保护的设备》GB
3836.3-2010附录D配置的合适热保护装置的“e”型低压异步电动机,启动频繁和环境条件恶劣者除外;“e”型荧光灯;“e”型测量仪表和仪表用电流互感器。
5.2.3
防爆电气设备的级别和组别不应低于该爆炸性气体环境内爆炸性气体混合物的级别和组别,并应符合下列规定:
1
气体、蒸气或粉尘分级与电气设备类别的关系应符合表5.2.3-1的规定。当存在有两种以上可燃性物质形成的爆炸性混合物时,应按照混合后的爆炸性混合物的级别和组别选用防爆设备,无据可查又不可能进行试验时,可按危险程度较高的级别和组别选用防爆电气设备。
对于标有适用于特定的气体、蒸气的环境的防爆设备,没有经过鉴定,不得使用于其他的气体环境内。
2
Ⅱ类电气设备的温度组别、最高表面温度和气体、蒸气引燃温度之间的关系符合表5.2.3-2的规定。

3
安装在爆炸性粉尘环境中的电气设备应采取措施防止热表面点可燃性粉尘层引起的火灾危险。Ⅲ类电气设备的最高表面温度应按国家现行有关标准的规定进行选择。电气设备结构应满足电气设备在规定的运行条件下不降低防爆性能的要求。
5.2.4
当选用正压型电气设备及通风系统时,应符合下列规定:
1
通风系统应采用非燃性材料制成,其结构应坚固,连接应严密,并不得有产生气体滞留的死角。
2
电气设备应与通风系统联锁。运行前应先通风,并应在通风量大于电气设备及其通风系统管道容积的5倍时,接通设备的主电源。
3
在运行中,进入电气设备及其通风系统内的气体不应含有可燃物质或其他有害物质。
4
在电气设备及其通风系统运行中,对于px、py或pD型设备,其风压不应低于50Pa;对于pz型设备,其风压不应低于25Pa。当风压低于上述值时,应自动断开设备的主电源或发出信号。
5
通风过程排出的气体不宜排入爆炸危险环境;当采取有效地防止火花和炽热颗粒从设备及其通风系统吹出的措施时,可排入2区空间。
6
对闭路通风的正压型设备及其通风系统应供给清洁气体。
7
电气设备外壳及通风系统的门或盖子应采取联锁装置或加警告标志等安全措施。
条文说明
5.2
爆炸性环境电气设备的选择
5.2.2 本条为强制性条文。
1 设备的保护级别EPL(Equipment
Protection Levels)是《爆炸性环境 第14部分:电气装置设计、选择和安装》IEC
60079-14-2007新引入的一个概念,同时现行国家标准《爆炸性环境》GB
3836也已经引入了EPL的概念。气体/蒸气环境中设备的保护级别为Ga、Gb、Gc,粉尘环境中设备的保护级别要达到Da、Db、Dc。
“EPL
Ga”爆炸性气体环境用设备,具有“很高”的保护等级,在正常运行过程中、在预期的故障条件下或者在罕见的故障条件下不会成为点燃源。
“EPL
Gb”爆炸性气体环境用设备,具有“高”的保护等级,在正常运行过程中、在预期的故障条件下不会成为点燃源。
“EPL
Gc”爆炸性气体环境用设备,具有“加强”的保护等级,在正常运行过程中不会成为点燃源,也可采取附加保护,保证在点燃源有规律预期出现的情况下(如灯具的故障)不会点燃。
“EPL
Da”爆炸性粉尘环境用设备,具有“很高”的保护等级,在正常运行过程中、在预期的故障条件下或者在罕见的故障条件下不会成为点燃源。
“EPL
Db”爆炸性粉尘环境用设备,具有“高”的保护等级,在正常运行过程中、在预期的故障条件下不会成为点燃源。
“EPL
Dc”爆炸性粉尘环境用设备,具有“加强”的保护等级,在正常运行过程中不会成为点燃源,也可采取附加保护,保证在点燃源有规律预期出现的情况下(如灯具的故障)不会点燃。
电气设备分为三类。
Ⅰ类电气设备用于煤矿瓦斯气体环境。
Ⅱ类电气设备用于除煤矿甲烷气体之外的其他爆炸性气体环境。
Ⅱ类电气设备按照其拟使用的爆炸性环境的种类可进一步再分类:
ⅡA类:代表性气体是丙烷;
ⅡB类:代表性气体是乙烯;
ⅡC类:代表性气体是氢气。
Ⅲ类电气设备用于除煤矿以外的爆炸性粉尘环境。
Ⅲ类电气设备按照其拟使用的爆炸性粉尘环境的特性可进一步再分类。
Ⅲ类电气设备的再分类:
ⅢA类:可燃性飞絮;
ⅢB类:非导电性粉尘;
ⅢC类:导电性粉尘。
2
本次修订改变了原规范按照设备类型对防爆电气设备在不同区域进行选择的规定,而是按照不同的防爆设备的类型确定其应用的场所,这一点也是与IEC标准相匹配的。
爆炸性气体环境电气设备的选择是按危险区域的划分和爆炸性物质的组别作出的规定。
根据《爆炸性环境
第14部分:电气装置设计、选择和安装》IEC
60079-14-2007的规定,在1区可以采用“e”类电气设备,但是考虑到增安型电气设备为正常情况下没有电弧、火花、危险温度,而不正常情况下有引爆的可能,故对在1区使用的“e”类电气设备进行了限制。
增安型电动机保护的热保护装置的目的是防止增安型电机突然发生堵转、短路、断相而造成定子、转子温度迅速升高引燃周围的爆炸性混合物。增安型电动机的热保护装置要求是在电动机发生故障时能够在规定的时间(tE)内切断电动机电源,使电机停止运转,使其温升达不到极限温度。随着电子工业的发展,新型的电子型综合保护器已大量投放市场,其工作误差和稳定性能够满足增安型电动机的保护要求,为增安型电动机的应用提供了必要条件。
无火花型电动机比较经济,但安全性不如增安型。选用该类型产品时,使用部门应有完善的维修制度,并严格贯彻执行。
由于我国目前普通工业用电动机在结构上、质量上不完全与国外等同,为了保证安全,本规范未在2区内规定采用一般工业型电动机。
在2区内不允许采用一般工业电动机的规定,是与国际电工委员会IEC标准等效的。
各种防爆类型标志如下:
“d”:隔爆型(对于EPL
Gb);
“e”:增安型(对于EPL Gb);
“ia”:本质安全型(对于EPL
Ga);
“ib”:本质安全型(对于EPL Gb);
“ic”:本质安全型(对于EPL
Gc);
“ma”:浇封型(对于EPL Ga);
“mb”:浇封型(对于EPL Gb);
“mc”:浇封型(对于EPL
Gc);
“nA”:无火花(对于EPL Gc);
“nC”火花保护(对于EPL
Gc,正常工作时产生火花的设备);
“nR”:限制呼吸(对于EPL Gc);
“nL”:限能(对于EPL
Gc);
“o”:油浸型(对于EPL Gb);
“px”:正压型(对于EPL
Gb);
“py”:正压型“py”等级(对于EPL Gb);
“pz”:正压型“pz”等级(对于EPL
Gc);
“q”:充砂型(对于EPL Gb)。
5.2.3
对只允许使用一种爆炸性气体或蒸气环境中的电气设备,其标志可用该气体或蒸气的化学分子式或名称表示,这时可不必注明级别与温度组别。例如,Ⅱ类用于氨气环境的隔爆型:Ex
dⅡ(NH3)Gb或Ex
dbⅡ(NH3)。
对于Ⅱ类电气设备的标志,可以标温度组别,也可以标最高表面温度,或两者都标出,例如,最高表面温度为125℃的工厂用增安型电气设备:Ex
eⅡT5 Gb或Ex eⅡ(125℃)Gb或Ex eⅡ(125℃)T5
Gb。
应用于爆炸性粉尘环境的电气设备,将直接标出设备的最高表面温度,不再划分温度组别,因此本规范删除了爆炸性粉尘环境电气设备的温度组别。例如,用于具有导电性粉尘的爆炸性粉尘环境ⅢC等级“ia”(EPL
Da)电气设备,最高表面温度低于120℃的表示方法为Ex ia ⅢC T120℃Da或Ex ia ⅢC T120℃IP20。
对于爆炸性粉尘环境的电气设备,本规范与现行国家标准《可燃性粉尘环境用电气设备 第2部分:选型和安装》GB
12476.2-2010的对应关系见表3。

本规范此次增加了复合型防爆电气设备的应用。所谓复合型防爆电器设备是指由几种相同的防爆形式或不同种类的防爆形式的防爆电气单元组合在一起的防爆电气设备。构成复合型电气设备的每个单元的防爆形式应满足本规范表5.2.3-1的要求,其整体的表面温度和最小点燃电流应满足所在危险区中存在的可燃性气体或蒸气的温度组别和所在级别的要求。例如,一个电气设备所在危险场所存在的可燃性气体是硫化氢,则组成复合型电气设备的每个单元只能选择T3、T4、T5以及B或C级的防爆电气设备。
爆炸性粉尘环境电气设备选择:
Ⅲ类电气设备的最高允许表面温度的选择应按照相关的国家规范(《可燃性粉尘环境用电气设备》GB
12476系列)执行。在相应的标准中,Ⅲ类电气设备的最高允许表面温度是由相关粉尘的最低点燃温度减去安全裕度确定的,当按照现行国家标准《可燃性粉尘环境用电气设备
第8部分:试验方法 确定粉尘最低点燃温度的方法》GB
12476.8规定的方法对粉尘云和厚度不大于5mm的粉尘层中的“tD”防爆形式进行试验时,采用A型,对其他所有防爆形式和12.5mm厚度中的“tD”防爆形式采用B型。
当装置的粉尘层厚度大于上述给出值时,应根据粉尘层厚度和使用物料的所有特性确定其最高表面温度。
(1)存在粉尘云情况下的极限温度:
设备的最高表面温度不应超过相关粉尘/空气混合物最低点燃温度的2/3,Tmax≤2/3TCL(单位:℃),其中TCL为粉尘云的最低点燃温度。
(2)存在粉尘层情况下的极限温度:
A型和其他粉尘层用设备外壳:
厚度不大于5mm:
用《可燃性粉尘环境用电气设备
第0部分:一般要求》IEC
61241-0-2004中第23.4.4.1条规定的无尘试验方法试验的最高表面温度不应超过5mm厚度粉尘层最低点燃温度减75℃:Tmax=T5mm—75℃(T5mm是5mm厚度粉尘层的最低点燃温度)。
5mm至50mm厚度:
当在A型的设备上有可能形成超过5mm的粉尘层时,最高允许表面温度应降低。图3是设备最高允许表面温度在最低点燃温度超过250℃的5mm粉尘层不断加厚情况下的降低示例,作为指南。

对粉尘层厚度超过50mm的A型外壳和所有其他设备,或仅对粉尘层厚度为12.5mm的B型外壳,其设备最高表面温度可用最高表面温度TL来标志,作为粉尘层允许厚度的参照。当设备以粉尘层TL标志时,应使用粉尘层L上的可燃粉尘的点燃温度代替T5mm。粉尘层L上设备的最高表面温度TL应从可燃性粉尘的点燃温度中减去75℃。
当设备按照现行国家标准《可燃性粉尘环境用电气设备
第5部分:外壳保护型“tD”》GB
12476.5-2013中第8.2.2.2条的规定试验时,对于12.5mm粉尘层厚度来说,设备最高表面温度不应超过粉尘层最低点燃温度减25℃:Tmax=T12.5mm—25℃(T12.5mm是12.5mm厚度粉尘层的最低点燃温度)。
在人工制气的混合物中,如果气体含有超过30%(体积)的氢,可将混合物划分为ⅡC级。
复合型电气设备的整机以及组成复合电气设备的每个单元都应该取得防爆检验机构颁发的防爆合格证才能使用。
对于爆炸性气体和粉尘同时存在的区域,其防爆电气设备的选择应该既满足爆炸性气体的防爆要求,又要满足爆炸性粉尘的防爆要求,其防爆标志同时包括气体和粉尘的防爆标识。
对于混合气体的分级,一直以来比较难以确定。根据《石油设施电气设备安装一级0区、1区和2区划分的推荐方法》API
RP505,《易燃液体、气体或蒸气的分类和化工生产区电气装置设计》NFPA 497-2004,《爆炸性气体环境的电气装置
第20部分:可燃性气体或蒸气爆炸性混合物数据》IEC 600079-20-1996和现行国家标准《爆炸性环境
第12部分:气体或蒸气混合物按照其最大试验安全间隙和最小点燃电流的分级》GB
3836.12的相关规定,本规范提出一种多组分爆炸性气体或蒸气混合物的最大试验安全间隙(MESG)的计算方法,并利用此计算结果判断多组分爆炸性气体的分级原则,进一步应用于工程实践中指导用电设备的选型问题。
(3)计算基础:
最大试验安全间隙(MESG):在标准规定试验条件下,壳内所有浓度的被试验气体或蒸气与空气的混合物点燃后,通过25mm长的接合面均不能点燃壳外爆炸性气体混合物的外壳空腔两部分之间的最大间隙。
ⅡA:包含丙酮、氨气、乙醇、汽油、甲烷、丙烷的气体,或可燃气体、可燃性物质蒸气,或可燃性物质蒸气与空气混合引起燃烧或爆炸,其最大试验安全间隙值大于0.90mm或最小点燃电流比大于0.8。
ⅡB:包含乙醛、乙烯的气体,或可燃气体、可燃性物质蒸气,或可燃性物质蒸气与空气混合引起燃烧或爆炸,其最大试验安全间隙值大于0.50mm且小于或等于0.90mm,或最小点燃电流比大于0.45且小于或等于0.8。
ⅡC:包含乙炔、氢气的气体,或可燃气体、可燃性物质蒸气,或可燃性物质蒸气与空气混合引起燃烧或爆炸,其最大试验安全间隙值小于或等于0.50mm,或最小点燃电流比小于0.45。
气体和蒸气的分级原则见表4。

注:本表中的数据源自《石油设施电气设备安装一级0区、1区和2区划分的推荐推荐方法》API RP
505及《易燃液体、气体或蒸气的分类和化工生产区电气装置设计》NFPA 497-2004,ⅡA、ⅡB、ⅡC的分级原则等同于《爆炸性环境
第10-1部分:区域分类爆炸性气体环境》IEC 60079-10-1。
(4)单组分气体和蒸气的分级:
根据电气设备适用于某种气体或蒸气环境的要求,将该气体或蒸气进行分级,使隔爆型电气设备或本质安全型电气设备按此级别制造,以便保证设备相应的防爆安全性能。
单组分气体和蒸气的分级原则是:
符合表4条件时,只需按测定的最大试验安全间隙(MESG)或最小点燃电流比(MICR)进行分级。大多数气体和蒸气可以按此原则分级。
在《爆炸性气体环境的电气装置
第20部分:可燃性气体或蒸气爆炸性混合物数据》IEC 60079-20-1996和《石油设施电气设备安装一级0区、1区和2区划分的推荐方法》API
RP505-2002中给出了若干种易燃易爆介质的可燃性数据。但其所列的气体和蒸气的种类是不完全的。其中某些气体并没有给定其最大试验安全间隙(MESG)或最小点燃电流比(MJCR)。对于上述情况,这种混合物的分级结果可参照这种混合物的同分异构体的分级(见现行国家标准《爆炸性环境
第12部分:气体或蒸气混合物按照其最大试验安全间隙和最小点燃电流的分级》GB
3836.12)。
(5)多组分气体和蒸气混合物的分级:
对于多组分气体混合物,一般应通过试验专门测定其最大试验安全间隙(MESG)或最小点燃电流比(MICR),才能确定其级别。
在工程设计过程中,每台化工设备、容器或反应器中所含的各种爆炸危险介质的组成成分不同,各成分间的配比也不同,不可能通过对每台设备中的气体样品进行专门试验。所以需要一种估算方法来解决多组分气体的分级问题。
《易燃液体、气体或蒸气的分类和化工生产区电气装置设计》NFPA
497-2008的附件B中专门介绍了一种用于确定混合气体分级的估算方法[注:原文是对应于美国NEC(National Electrical
Code)标准中的气体组别]。
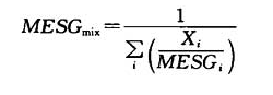
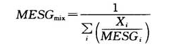
混合气体的MESG可以用下式估算:

式中:MESGmix——混合气体的最大试验安全间隙(mm);
MESGi——混合气体中各组分的最大试验安全间隙(mm),具体数值应查找《爆炸性气体环境的电气装置
第20部分:可燃性气体或蒸气爆炸性混合物数据》IEC
60079-20-1996;
1——可燃性数据,可查找《石油设施电气设备安装一级0区、1区和2区划分的推荐方法》API
RP505-2002;
Xi——混合气体中各组分的体积百分含量(%)。此数据由工艺专业给出,要根据设备中混合介质在气态时最大工况的情况下,各组分所占的体积百分比。根据此公式计算出混合气体的MESG,由于MESG值是气体的物理特性,它并不受控于NEC规范。因此利用上述公式计算的结果比照表4,就可以将混合气体按IEC和《石油设施电气设备安装一级0区、1区和2区划分的推荐方法》API
RP505中规定的级别进行归类。
(6)举例:
示例源自《易燃液体、气体或蒸气的分类和化工生产区电气装置设计》NFPA
497-2008。某种气体所含组分为:
乙烯:45%,丙烷:12%,氮气:20%,甲烷:3%,异丙醚:17.5%,二乙醚:2.5%。
各组分的MESG值见表5。

将各组分的MESG值和体积百分比分别代入下式:

对于含有像氮气这样的惰性组分的混合气体,如果氮气的体积小于5%,则氮气MESG值取无穷大;如果氮气的体积大于或等于5%,则氮气MESG值取2。根据以上信息可算出结果:

即混合气体的MESG值为0.86。对照表4,此混合气体按IEC和《石油设施电气设备安装一级0区、1区和2区划分的推荐方法》API
RPS05的分级归为ⅡB类。
5.2.4
本条对正压通风型电气设备及通风系统作出规定。
电气设备接通电源之前应该使设备内部和相连管道内各个部位的可燃气体或蒸汽浓度在爆炸下限的25%以下,一般来说,换气所需的保护气体至少应该为电气设备内部(或正压房间或建筑物)和其连接的通风管道容积的5倍。通风量是根据正压风机的运行时间来确定的,即风机的运行时间决定了通风量的大小,同时在考虑通风量时不仅要考虑电气设备内部(或正压房间或建筑物),还需要考虑通风管道的容积。通风量的大小可用通风管道的容积除以风机最低流量条件下风机每小时通风量,再乘以5计算,满足这个时间的换气量即可认为达到了整个系统换气量的5倍。