电动汽车用动力蓄电池安全要求
编号:GB38031-2020
颁布时间:2020/5/12
是否常用:是
是否有效:现行有效
分类:特殊场所建筑防火
附录B
电池包或系统绝缘电阻测试方法
B.1 目的
明确电池包或系统的绝缘电阻测试方法。
B.2 试验条件
电池包或系统均以制造商规定的完全充电状态进行,试验环境温度为22℃±5℃,湿度为15%~90%。
电压检测工具的内阻不小于10MΩ。在测量时若绝缘监测功能会对电池包或系统绝缘电阻的测试产生影响,则应将绝缘监测功能关闭或者将绝缘电阻监测单元从B级电压电路中断开,以免影响测量值,否则制造商可选择是否关闭绝缘监测功能或者将绝缘监测单元从B级电压电路中断开。
B.3 绝缘电阻测试方法
1 方法1
1
使电池包或系统内的电力、电子开关激活以保证电池系统处于接通状态。
2
用相同的两个电压检测工具同时测量电池包或系统的两个端子和电平台之间的电压,如图B.1所示。待读数稳定,较高的一个为Ui,较低的一个为U1'。
注:电池包或系统的电平台可以是其与整车电平台连接的可导电外壳。
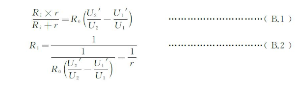
3 添加一个已知电阻R。,阻值推荐1MΩ。如图B.2所示并联在电池包或系统的U1侧端子与电平台之间。再用B.3.1.2中的两个电压检测工具同时测量电池包或系统的两个端子和电平台之间的电压,待读数稳定,测量值为U2和U2’。
4 计算绝缘电阻R;,方法如下: Ri可以使用Ro和四个电压值U1、U1'、U2和U2’以及电压检测设备内阻r,代入式(B.1)或式(B.2)来计算
B.3.2 方法2 1 使电池包或系统处于接通的状态。
2
使用绝缘电阻仪分别测量电池包或系统两个端子和电平台之间的绝缘电阻。
注:电池包或系统的电平台可以是其与整车电平台连接的可导电外壳。
3
测量电压:使用的测量电压应为电池包或系统标称电压的1.5倍或500V(d.c.)的电压,两者取较高值。测量时间:施加的电压应该足够长,以便获得稳定的读数,推荐值为30s。