液化石油气供应工程设计规范
编号:GB51142-20155.3 工艺及设备
5.3.1 储罐设计总容量宜根据供应规模、气源情况、运输方式、运距和城市应急保障等因素确定。5.3.2 当储罐设计总容量大于3000m³时,宜将储罐分别设置在灌装站和储存站。灌装站的储罐设计容量宜为1周的计算月平均日供应量,其余为储存站的储罐设计容量。当储罐设计总容量小于3000m³时,可将储罐全部设置在储配站。
5.3.3 地上储罐应设置钢梯平台,并宜符合下列规定:
1 卧式储罐组宜设置联合钢梯平台。当组内储罐大于4台时,宜设置2个斜梯。
2 球形储罐组宜设置联合钢梯平台。
5.3.4 地下储罐宜设置在钢筋混凝土槽内,并应采取防止液化石油气聚集的措施。储罐罐顶与槽盖内壁净距不宜小于0.4m;各储罐之间宜设置隔墙,储罐与隔墙和槽壁之间的净距不宜小于0.9m。当采用钢筋混凝土槽时,储罐应采取防水和防漂浮的措施。
5.3.5 液化石油气储存站、储配站和灌装站应具有泵、机联合运行功能,液化石油气压缩机不宜少于2台。
5.3.6 液化石油气压缩机进、出口管段阀门及附件的设置应符合下列规定:
1 进、出口管段应设置阀门;
2 进口管段应设置过滤器;
3 出口管段应设置止回阀和安全阀(设备自带除外);
4 进、出口管段之间应设置旁通管及旁通阀。
5.3.7 液化石油气压缩机室的布置宜符合下列规定:
1 压缩机机组间的净距不宜小于1.5m;
2 机组操作侧与内墙的净距不宜小于2.0m,其余各侧与内墙的净距不宜小于1.2m;
3 安全阀应设置放散管。
5.3.8 液化石油气气液分离器、缓冲罐和气化器的设置应符合本规范第9.3.9条的规定。
5.3.9 液态液化石油气宜采用屏蔽泵,泵的安装高度应保证系统不发生气蚀,并应采取防止振动的措施。
5.3.10 液态液化石油气泵进、出口管段阀门及附件的设置应符合下列规定:
1 泵进、出口管段应设置切断阀和放气阀;
2 泵进口管段应设置过滤器;
3 泵出口管段应设置止回阀,并应设置液相安全回流阀。
5.3.11 灌瓶间内钢瓶存放量宜按1d~2d的计算月平均日供应量计算。当总存瓶量(实瓶)大于3000瓶时,宜另外设置瓶库。
5.3.12 采用自动化、半自动化灌装和机械化运瓶的灌瓶作业线应设置灌瓶质量复检装置、检漏装置或采取检漏措施。采用手动灌瓶作业时,应设置检斤秤,并应采取检漏措施。灌瓶间应设置钢瓶灌装标识码检测系统,并应对钢瓶灌装及进、出库信息进行记录。
5.3.13 储配站和灌装站应设置残液倒空和回收装置。
5.3.14 汽车槽车装卸台柱的装卸接头应采用与汽车槽车配套的快装接头,接头与装卸管之间应设置阀门。装卸管段应设置拉断力为800N~1400N的拉断阀。
5.3.15 液化石油气储存站、储配站和灌装站站内铁路引入线和铁路槽车装卸线的设计应符合现行国家标准《Ⅲ、Ⅳ级铁路设计规范》GB 50012的有关规定。站内的铁路槽车装卸线应采用直线形式,其终点与停放铁路槽车端部的距离不应小于20m,且应设置具有明显警示标志的车挡。
5.3.16 铁路槽车装卸栈桥应采用不燃烧材料,栈桥长度宜为铁路槽车装卸车位数与车身长度的乘积,宽度不宜小于1.2m,两端应设置宽度不小于0.8m的斜梯。
5.3.17 铁路槽车装卸栈桥上的液化石油气装卸鹤管应设置便于操作的机械吊装设施。
5.3.18 液化石油气铁路槽车和汽车槽车应符合国家现行标准《液化气体铁道罐车》GB/T 10478和《液化石油气汽车槽车技术条件》HG/T 3143的有关规定。
5.3.19 站内室外液化石油气管道的设置应符合下列规定:
1 宜采用单排低支架敷设,管底与地面的净距宜为0.3m;
2 当管道跨越道路采用支架敷设时,其管底与地面的净距不应小于4.5m;
3 当采用支架敷设时,应考虑温度补偿;
4 液相管道两阀门之间应设管道安全阀,高点应设置排气阀,低点应设置排污阀;
5 管道安全阀与管道之间应设置阀门,管道安全阀的整定压力应符合现行国家标准《压力容器》GB 150.1~GB 150.4的有关规定。
5.3.20 当液化石油气管道埋地敷设时,应符合本规范第4.3节的规定。
5.3.21 灌装液化石油气选用的钢瓶除应符合国家现行标准的有关规定外,尚应符合下列规定:
1 钢瓶上应设置可识别的标识码;
2 钢瓶的瓶阀宜具有自闭功能,并应符合国家现行标准的有关规定,调压器出口宜设置具有过流切断功能的装置。
5.3.22 液化石油气灌装站应建立钢瓶充装销售信息管理系统。
5.3.23 新瓶库和真空泵房应设置在辅助区。新瓶和检修后的钢瓶首次灌装前应抽真空,真空度应大于80kPa。
5.3.24 液化石油气储配站和灌装站宜配置备用钢瓶,备用钢瓶数量可取总供应户数的2%。
条文说明
5.3 工艺及设备
5.3.1 对液化石油气储存站、储配站和灌装站储罐设计总容量作了原则性的规定。近年来我国液化石油气供销已实现市场经济模式运作,因此,储存站、储配站和灌装站的储罐设计总容量不宜过大,应根据建站所在地区的具体情况确定。
5.3.2 本条规定了液化石油气储存站、储配站和灌装站的储罐设计总容量超过3000m³时,从工艺角度,由于装卸和灌装过程易发生泄漏及人员流动较多,故宜将储罐分别设置在储存站和灌装站,以保证城市安全使用液化石油气。灌装站的储罐设计总容量宜取1周左右计算月平均日供应量,其余为储存站的储罐设计总容量,主要依据如下:
1 国内外液化石油气火灾和爆炸事故实例表明,其单罐容积和总容积越大,发生事故时所殃及的范围和造成的损失越大。
2 世界各液化石油气发达国家,如:美国、日本、原苏联、法国、西班牙等国的液化石油气分为三级储存,即一、二、三级储存站。一级储存站是国家或地区级的储存站,通常采用全冷冻式储罐或地下储库储存,其储存量达数万吨以上。二级储存站其储存量次之,通常采用全压力式储存,单罐容积和总容积较大。三级储存站即灌装站,其储存量和单罐容积较小,储罐总容量一般为1d~3d的计算月平均日供应量。
3 我国一些大城市,如:北京、天津、南京、杭州、武汉、济南、石家庄等地采用两级储存,即分为储存站和灌装站两级储存。
根据目前实际情况,灌装站储罐设计容量定为1周的计算月平均日供气量是符合我国国情的,也是国内实际工程经验的总结。
5.3.4 地下储罐设置方式有:直埋式、储槽式(填砂、充水和机械通风)和覆盖式(采用混凝土或其他材料将储罐覆盖)等。在我国多采用储槽式,即将地下储罐置于钢筋混凝土槽内,并填充干砂,比较安全、切实可行,故推荐这种设置方式。
储罐罐顶与槽盖内壁间距不宜小于0.4m,主要考虑使其液温(罐内压力)比较稳定。储罐与隔墙或槽壁之间的净距不宜小于0.9m主要是考虑安装和检修的需要。此外,尚应注意在进行钢筋混凝土槽设计和施工时,应采取防水和防漂浮的措施。
5.3.9 正确地确定液化石油气泵安装高度(以储罐最低液位为准,其安装高度为负值)是防止泵运行时发生气蚀,是保证系统正常运行的基本条件,故设计时应予以重视。
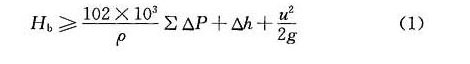
1 为便于设计时参考,给出离心式烃泵安装高度计算公式:

式中:Hb——储罐最低液面与泵中心线的高程差(m);
∑△P——储罐出口至泵入口管段的总阻力损失(MPa);
△h——泵的允许气蚀余量(MPa);
u——液态液化石油气在泵入口管道中的平均流速,可取小于1.2(m/s);
g——重力加速度(m/s²);
ρ——液态液化石油气的密度(kg/m³)。
2 容积式泵的安装要求应根据产品样本确定。当样本未给出安装要求时,储罐最低液位与泵中心线的高程差可取不小于0.6m,烃泵吸入管段的水平长度可取不大于3.6m,且应尽量减少阀门和管件数量,并尽量避免管道采用向上竖向弯曲。
5.3.11 灌瓶间内钢瓶存放量(实瓶)是根据各地燃气公司实际运行情况确定的。
5.3.12 本条规定是为了保证液化石油气的灌瓶质量,即灌装量应保证在允许误差范围内和瓶体各部位不应漏气。钢瓶标识码检测系统对钢瓶加装可追溯的条形码,一方面便于企业对钢瓶的管理,另一方面,有充装记录数据,便于追溯。
5.3.14 汽车槽车装卸台(柱)的快装接头与装卸管之间应设置阀门是为了减少装卸车完毕后液化石油气排放量。规定在汽车槽车装卸柱的装卸管上设置拉断阀是防止万一发生误操作将其管道拉断而引起大量液化石油气泄漏。
5.3.17 铁路槽车装卸栈桥上的液化石油气装卸鹤管应设置便于操作的机械吊装设施,主要考虑防止进行装卸作业时由于鹤管回弹而打伤操作人员和减轻劳动强度。
5.3.18 本条规定设计时选用的铁路槽车和汽车槽车性能应符合条文中相应技术条件的要求,以保证槽车的安全运行。
5.3.19 本条对站区室外液化石油气管道敷设的方式提出基本要求。
站区室外管道推荐采用单排低支架敷设,其管底与地面净距取0.3m左右。这种敷设方式主要是便于管道施工安装、检修和运行管理,同时也节省投资。
管道跨越道路采用支架敷设时,其管底与地面净距不应小于4.5m,是根据消防车的高度确定的。
高点排气为防止气蚀产生的气阻,特别是在投产时;低点排污为了排除污水和杂质。
5.3.21 钢瓶指民用、商业和工业用液化石油气钢瓶。液化石油气钢瓶的设计、制造、使用应符合《气瓶安全监察规定》、《气瓶安全监察规程》和现行国家标准《液化石油气钢瓶》GB 5842及《液化石油气钢瓶定期检验与评定》GB 8334的有关规定。钢瓶上应设置可识别的标识码,通过标识码可查找到钢瓶原始数据、充装情况和流转情况等。可识别的标识码的形式不限:有电子标识、陶瓷标识等。
规定钢瓶瓶阀宜有自闭功能,是依据现行国家标准《液化石油气瓶阀》GB 7512的规定和国内液化石油气瓶装供应企业使用情况编制的。规定调压器出口宜设置具有过流切断功能的装置,目的是防止用户在使用过程中由于胶管脱落、破损及调压器失灵等带来的燃气泄漏事故的发生。
5.3.22 建立液化石油气钢瓶档案信息是为了了解钢瓶年检情况、使用寿命、使用年限、灌装情况等内容,对钢瓶回收、充装和销售环节加以控制,确保对钢瓶的身份可追溯。
5.3.23 新瓶和检修后的钢瓶首次灌瓶前将其抽至80kPa真空度以上,可保证灌装完毕后,其瓶内气相空间的氧气含量控制在4%以下,以防止燃气用具首次点火时发生爆鸣声和恐惧感。
5.3.24 液化石油气储配站、灌装站备用新瓶数量可取总供应户数的2%左右,是根据各站实际运行经验确定的。