泡沫灭火系统施工及验收规范
编号:GB50281-2006
颁布时间:2006/11/1
是否常用:是
是否有效:已废止
分类:消防设施
附录C
发泡倍数的测量方法
C.0.1 测量设备:
1 台秤1 台(或电子秤):量程50kg,精度20g。
2
泡沫产生装置:
1)PQ4 或PQ8 型泡沫枪1 支。
2)中倍数泡沫枪(手提式中倍数泡沫产生器)1 支。
3 量桶1
个:容积大于或等于20L(dm3)。
4 刮板1
个(由量筒尺寸确定)。
C.0.2 测量步骤:
1
用台秤测空桶的重量W1(kg)。
2
将量桶注满水后称得重量W2(kg)。
3
计算量桶的容积V=W2-W1。
注:1.水的密度按1
考虑,即1kg/dm3;1dm3=1L。
4
从泡沫混合液管道上的消火栓接出水带和PQ4 型或PQ8 型或中倍数泡沫枪,系统喷泡沫试验时打开泡沫消火栓,待泡沫枪的进口压力达到额定值,喷出泡沫10s 后,用量桶接满立即用刮板刮平,擦干外壁,此时称得重量为W(kg)(有条件可从低、中倍数泡沫产生器处接取泡沫)。
5
液下喷射泡沫,从高背压泡沫产生器出口侧的泡沫取样口处,用量桶接满泡沫后,用刮板刮平,擦干外壁,称得重量为W(kg)。
6
泡沫喷淋系统可从最不利防护区的最不利点喷头处接取泡沫;固定式泡沫炮可从最不利点处的泡沫炮接取泡沫,操作方法按本条第4 款执行。
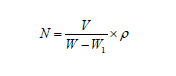
C.0.3 计算公式:

式中: N——发泡倍数;
W1——空桶的重量(kg);
W——接满泡沫后量桶的重量(kg);
V——量桶的容积(L 或dm3);
ρ——泡沫混合液的密度,按1kg/L 或1kg/dm3。
C.0.4
重复一次测量,取两次测量的平均值作为测量结果。
C.0.5
测量结果应符合下列要求:
1 低倍数泡沫混合液的发泡倍数宜大于或等于5 倍,对于液下喷射泡沫灭火系统的发泡倍数不应小于2 倍,且不应大于4 倍。
2 中倍数泡沫混合液的发泡倍数宜大于或等于21 倍。
注:高倍数泡沫灭火系统测量泡沫供给速率,不应小于设计要求的最小供给速率。