石油天然气工程设计防火规范
编号:GB50183-2004
颁布时间:2005/3/1
是否常用:是
是否有效:现行有效
分类:特殊场所建筑防火
6.8 泄压和放空设施
6.8.1 可能超压的下列设备及管道应设安全阀:1 顶部操作压力大于0.07MPa的压力容器;
2 顶部操作压力大于0.03MPa的蒸馏塔、蒸发塔和汽提塔(汽提塔顶蒸汽直接通入另一蒸馏塔者除外);
3 与鼓风机、离心式压缩机、离心泵或蒸汽往复泵出口连接的设备不能承受其最高压力时,上述机泵的出口;
4 可燃气体或液体受热膨胀时,可能超过设计压力的设备及管道。
6.8.2 在同一压力系统中,压力来源处已有安全阀、则其余设备可不设安全阀。扫线蒸汽不宜作为压力来源。
6.8.3 安全阀、爆破片的选择和安装,应符合国家现行标准《压力容器安全监察规程》的规定。
6.8.4 单罐容量等于或大于100m³的液化石油气和天然气凝液储罐应设置2个或2个以上安全阀,每个安全阀担负经计算确定的全部放空量。
6.8.5 克劳斯硫回收装置反应炉、再热炉等,宜采用提高设备设计压力的方法防止超压破坏。
6.8.6 放空管道必须保持畅通,并应符合下列要求:
1 高压、低压放空管宜分别设置,并应直接与火炬或放空总管连接;
2 不同排放压力的可燃气体放空管接入同一排放系统时,应确保不同压力的放空点能同时安全排放。
6.8.7 火炬设置应符合下列要求:
1 火炬的高度,应经辐射热计算确定,确保火炬下部及周围人员和设备的安全。
2 进入火炬的可燃气体应经凝液分离罐分离出气体中直径大于300μm的液滴;分离出的凝液应密闭回收或送至焚烧坑焚烧。
3 应有防止回火的措施。
4 火炬应有可靠的点火设施。
5 距火炬筒30m范围内,严禁可燃气体放空。
6 液体、低热值可燃气体、空气和惰性气体,不得排入火炬系统。
6.8.8 可燃气体放空应符合下列要求:
1 可能存在点火源的区域内不应形成爆炸性气体混合物。
2 有害物质的浓度及排放量应符合有关污染物排放标准的规定。
3 放空时形成的噪声应符合有关卫生标准。
4 连续排放的可燃气体排气筒顶或放空管口,应高出20m范围内的平台或建筑物顶2.0m以上。对位于20m以外的平台或建筑物顶,应满足图6.8.8的要求,并应高出所在地面5m。
5间歇排放的可燃气体排气筒顶或放空管口,应高出10m范围内的平台或建筑物顶2.0m以上。对位于10m以外的平台或建筑物顶,应满足图6.8.8的要求,并应高出所在地面5m。
注:阴影部分为平台或建筑物的设置范围6.8.9 甲、乙类液体排放应符合下列要求。
1 排放时可能释放出大量气体或蒸汽的液体,不得直接排入大气,应引入分离设备,分出的气体引入可燃气体放空系统,液体引入有关储罐或污油系统。
2 设备或容器内残存的甲、乙类液体,不得排入边沟或下水道,可集中排入有关储罐或污油系统。
6.8.10 对存在硫化铁的设备、管道,排污口应设喷水冷却设施。
6.8.11 原油管道清管器收发筒的污油排放,应符合下列要求:
1 清管器收发筒应设清扫系统和污油接收系统。
2 污油池中的污油应引入污油系统。
6.8.12 天然气管道清管作业排出的液态污物若不含甲、乙类可燃液体,可排入就近设置的排污池;若含有甲、乙类可燃液体,应密闭回收可燃液体或在安全位置设置凝液焚烧坑。
条文说明
6.8 泄压和放空设施
6.8.1 本条是设置安全阀的要求。
1 顶部操作压力大于0.07MPa(表压)的设备,即为压力容器,应设置安全阀。
2 蒸馏塔、蒸发塔等气液传质设备,由于停电、停水、停回流、气提量过大、原料带水(或轻组分)过多等诸多原因,均可能引起气相负荷突增,导致设备超压,所以,塔顶操作压力大于0.03MPa(表压)者,均应设安全阀。
6.8.4 本条是参照国家标准《城镇燃气设计规范》GB 50028-93(2002年版)的有关规定制定的。
6.8.5 国内早期设计的克劳期硫回收装置反应炉采用爆破片防止设备超压破坏。但在爆破片爆破时,设备内的高温有毒气体排入装置区大气中。污染了操作环境,甚至危及操作人员的人身安全。
由于克劳期硫磺回收反应炉、再热炉等设备的操作压力低,可能产生的爆炸压力亦低,采用提高设备设计压力的方法防止超压破坏不会过分增加设备壁厚。有时这种低压设备为满足刚度要求而增加的厚度就足以满足提高设计压力的要求。因此,采用提高设备设计压力的方法防止超压破坏,不会增加投资或只需增加很小的投资。化学当量的烃-空气混合物可能产生的最大爆炸压力约为爆炸前压力(绝压)的7~8倍。必要时可用下式计算爆炸压力:Pe=Pf·Te/Tf·(me/mf) (1)式中:Pe——爆炸压力(kPa)(绝压);
Pf——混合气体爆炸前压力(kPa)(绝压);
Te、Tf——爆炸时达到温度及爆炸前温度(K);
me/mf——爆炸后及爆炸前气体标准体积比(包括不参加反应的气体如N2等)。
6.8.6 为确保放空管道畅通,不得在放空管道上设切断阀或其他截断设施;对放空管道系统中可能存在的积液,及由于高压气体放空时压力骤降或环境温度变化而形成的冰堵,应采取防止或消防措施。
1 高、低压放空管压差大时,分别设置通常是必要的。高、低压放空同时排入同一管道,若处置不当,可能发生事故。例如,四川气田开发初期,某厂酸性气体紧急放空管与DN100原料气放空管相连并接入40m高的放空火炬,发生过原料气与酸气同时放空时,由于原料气放空量大、压力高(4MPa),使紧急放空管压力上升,造成酸性气体系统压力升高,至使酸性气体水封罐防爆孔憋爆的事故。
高、低压放空管分别设置往往还可降低放空系统的建设费用,故大型站场宜优先选择这样的放空系统。
2 当高压放空气量较小或高、低压放空的压差不大(例如其压差为0.5~1.0MPa)时,可只设一个放空系统,以简化流程。这时,必须对可能同时排放的各放空点背压进行计算,使放空系统的压降减少到不会影响各排放点安全排放的程度。根据美国石油学会标准《泄压和减压系统导则》API RP521规定,在确定放空管系尺寸时,应使可能同时泄放的各安全阀后的累积回压限制在该安全阀定压的10%左右。
6.8.7 本条是对火炬设置的要求。
1 火炬高度与火炬筒中心至油气站场各部位的距离有密切关系,热辐射计算的目的是保证火炬周围不同区域所受热辐射均在允许范围内。现将美国石油学会标准《泄压和减压系统导则》API RP 521的有关计算部分摘录如下,供参考。
1)本计算包括确定火炬筒直径、高度,并根据辐射热计算,确定火炬筒中心至必须限制辐射热强度(或称热流密度)的受热点之间的安全距离。火炬对环境的影响,如噪声、烟雾、光度及可燃气体焚烧后对大气的污染,不包括在本计算方法内。
2)计算条件:
①视排放气体为理想气体;
②火炬出口处的排放气体允许线速度与声波在该气体中的传播速度的比值——马赫数,按下述原则取值:
对站场发生事故,原料或产品气体需要全部排放时,按最大排放量计算,马赫数可取0.5;单个装置开、停工或事故泄放,按需要的最大气体排放量计算,马赫数可取0.2。
③计算火炬高度时,按表3确定允许的辐射热强度。太阳的辐射热强度约为0.79~1.04kW/㎡,对允许暴露时间的影响很小。
④火焰中心在火焰长度的1/2处。
注:当q值大于6.3kW/㎡时,操作人员不能迅速撤离的塔上或其他高架结构平台,梯子应设在背离火炬的一侧。3)计算方法:
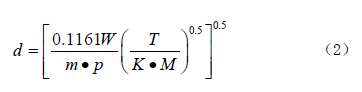
①火炬筒出口直径:

式中:d——火炬筒出口直径(m);
W——排放气质量流率(kg/s);
m——马赫数;
T——排放气体温度(K);
K——排放气绝热系统;
M——排放气体平均分子量;
P——火炬筒出口内侧压力(kPa)(绝压)。
火炬筒出口内侧压力比出口处的大气压略高。简化计算时,可近似为等于该处的大气压。必要时可按下式计算:

式中:P0——当地大气压(kPa)(绝压);
V——气体流速(m/s)。
②火焰长度及火焰中心位置:
火焰长度随火炬释放的总热量变化而变化。火焰长度L可按图1确定。图1 火焰长度与释放总热量的关系
火炬释放的总热量按下式计算:Q=HL·W式中:Q——火炬释放的总热量(kW);HL——排放气的低发热值(kJ/kg)。
风会使火焰倾斜,并使火焰中心位置改变。风对火焰在水平和垂直方向上的偏移影响,可根据火炬筒顶部风速与火炬筒出口气速之比,按图2确定。
火焰中心与火炬筒顶的垂直距离Yc及Xc按下列公式计算:

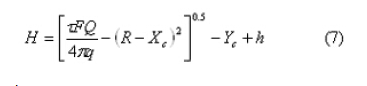
③火炬筒高度:火炬筒高度按下列公式计算(参见图3)。
(7)火炬筒高度

式中:H——火炬筒高度(m);
Q——火炬释放总热量(kW);
F——辐射率,可根据排放气体的主要成分,按表4取值;
q——允许热辐射强度(kW/㎡),按表3规定取值;
Yc、Xc——火焰中心至火炬筒顶的垂直距离及水平距离(m);
R——受热点至火炬筒的水平距离(m);
h——受热点至火炬筒下地面的垂直高差(m);
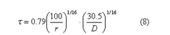
τ——辐射系数,该系数与火焰中心至受热点的距离及大气相对湿度,火焰亮度等因素有关,对明亮的烃类火焰,当上述距离为30~150m时,可按下式计算辐射系数:
(8)辐射系数

式中:r——大气相对湿度(%);
D——火焰中心至受热点的距离(m)(见图3)。
2 液体、低热值气体、空气和惰性气体进入火炬系统,将影响火炬系统的正常操作。有资料介绍,热值低于8.37MJ/m³的气体不应排入可燃气体排放系统。6.8.8 从保护环境及安全上考虑,可燃气体应尽量通过火炬系统排放,含硫化氢等有毒气体的可燃气更是如此。
美国石油学会标准《泄压和减压系统导则》API RP521认为:可燃气体直接排入大气,当排放口速度大于150m/s时,可燃气体与空气迅速混合并稀释至可燃气体爆炸下限以下是安全的。
6.8.9 甲、乙类液体排放时,由于状态条件变化,可能释放出大量可燃气体。这些气体如不经分离,会从污油系统扩散出来,成为火灾隐患。故在这类液体放空时应先进入分离器,使气液分离后再分别引入各自的放空系统。
设备、容器内残存的少量可燃液体,不得就地排放或排入边沟、下水道,也是为了减少火灾事故隐患,并有利于保护环境。
6.8.10 积存于管线和分离设备中的硫化铁粉末,在排入大气时易自燃,成为火源。四川某输气管道末站分离器放空管管口曾发生过种情况。故应在这种排污口设喷水冷却设施。
6.8.12 天然气管道清管器收发筒排污已实现低压排放。经分离后排放,可在保护安全前提下减少占地。