建筑钢结构防火技术规范
编号:GB51249-20177.1
承载力法
Ⅰ 基本钢构件
7.1.1 火灾下轴心受拉钢构件或轴心受压钢构件的强度应按下式验算:

式中:N——火灾下钢构件的轴拉(压)力设计值;
An——净截面面积;
fT——高温下钢材的强度设计值,按本规范第5.1节规定确定。
7.1.2
火灾下轴心受压钢构件的稳定性应按下列公式验算:

式中:N——火灾下钢构件的轴向压力设计值;
A——毛截面面积;
φT——高温下轴心受压钢构件的稳定系数;
φ——常温下轴心受压钢构件的稳定系数,应按现行国家标准《钢结构设计规范》GB
50017的规定确定;
αc——高温下轴心受压钢构件的稳定验算参数,应根据构件长细比和构件温度按表7.1.2确定。

注:1 表中λ为构件的长细比,fy为常温下钢材强度标准值;
2
温度小于或等于50℃时,αc可取1.0;温度大于50℃时,表中未规定温度时的αc应按线性插值方法确定。
7.1.3
火灾下单轴受弯钢构件的强度应按下式验算:

式中:M——火灾下构件的最不利截面处的弯矩设计值;
Wn——钢构件最不利截面的净截面模量;
γ——截面塑性发展系数。
7.1.4
火灾下单轴受弯钢构件的稳定性应按下列公式验算:

式中:M——火灾下构件的最大弯矩设计值;
W——按受压最大纤维确定的构件毛截面模量;
φbT——高温下受弯钢构件的稳定系数;
φb——常温下受弯钢构件的稳定系数,应按现行国家标准《钢结构设计规范》GB
50017的规定确定;当φb>0.6时,φb不作修正;
αb——高温下受弯钢构件的稳定验算参数,应按表7.1.4确定。

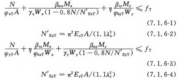
7.1.5 火灾下拉弯或压弯钢构件的强度应按下式验算:

式中:Mx、My——火灾下最不利截面处对应于强轴x轴和弱轴y轴的弯矩设计值;
Wnx、Wny——绕x轴和y轴的净截面模量;
γx、γy——绕强轴和弱轴弯曲的截面塑性发展系数。
7.1.6
火灾下压弯钢构件绕强轴x轴弯曲和绕弱轴y轴弯曲时的稳定性应分别按下列公式验算:

式中:N——火灾下钢构件的轴向压力设计值;
Mx、My——火灾下所计算钢构件段范围内对强轴和弱轴的最大弯矩设计值;
A——毛截面面积;
Wx、Wy——对强轴和弱轴按其最大受压纤维确定的毛截面模量;
N'ExT、N'EyT——高温下绕强轴和弱轴弯曲的参数;
λx、λy——对强轴和弱轴的长细比;
φxT、φyT——高温下轴心受压钢构件对应于强轴和弱轴失稳的稳定系数,应按本规范第7.1.2条式(7.1.2-2)计算;
φbxT、φbyT——高温下均匀弯曲受弯钢构件对应于强轴和弱轴失稳的稳定系数,应按本规范第7.1.4条式(7.1.4-2)计算;
η——截面影响系数,对于闭口截面,取0.7;对于其他截面,取1.0;
βmx、βmy——弯矩作用平面内的等效弯矩系数,应按下列规定采用(βm表示βmx、βmy):
1)框架柱和两端支承的构件:
①无横向荷载作用时:取βm=0.65+0.35M2/M1,M1和M2为端弯矩,使构件产生同向曲率(无反弯点)时取同号;使构件产生反向曲率(有反弯点)时取异号,|M1|≥|M2|;
②有端弯矩和横向荷载同时作用时:使构件产生同向曲率时,βm=1.0;使构件产生反向曲率时,βm=0.85;
③无端弯矩但有横向荷载作用时:βm=1.0。
2)悬臂构件和分析内力未考虑二阶效应的无支撑纯框架和弱支撑框架柱,βm=1.0;
βtx、βty——弯矩作用平面外的等效弯矩系数,应按下列规定采用(βt表示βtx、βty):
1)在弯矩作用平面外有支承的构件,应根据两相邻支承点间构件段内的荷载和能力情况确定:
①所考虑构件段无横向荷载作用时:βt=0.65+0.35M2/M1,M1和M2为在弯矩作用平面内的端弯矩,使构件产生同向曲率(无反弯点)时取同号;使构件产生反向曲率(有反弯点)时取异号,|M1|≥|M2|;
②所考虑构件段有端弯矩和横向荷载同时作用时:使构件产生同向曲率时,βt=1.0;使构件产生反向曲率时,βt=1.0;
③所考虑构件段无端弯矩但有横向荷载作用时:βt=1.0。
2)弯矩作用平面外为悬臂的构件,βt=1.0。
Ⅱ
钢框架梁、柱
7.1.7 火灾下受楼板侧向约束的钢框架梁的承载力可按下式验算:

式中:M——火灾下钢框架梁上荷载产生的最大弯矩设计值,不考虑温度内力;
Wp——钢框架梁截面的塑性截面模量。
7.1.8
火灾下钢框架柱的承载力可按下式验算:

式中:N——火灾下钢框架柱所受的轴压力设计值;
A——钢框架柱的毛截面面积;
φT——高温下轴心受压钢构件的稳定系数,应按式(7.1.2-2)计算,其中钢框架柱计算长度应按柱子长度确定。
条文说明
7.1
承载力法
采用承载力法进行钢结构耐火验算与防火保护设计时,可按下列步骤进行:
(1)
确定防火保护方法,设定钢构件的防火保护层厚度(可设定为无防火保护);
(2)
按本规范第6章的规定计算构件在设计耐火极限tm时间内的最高温度Tm;
(3)
按本规范第5.1节的规定确定高温下钢材的力学参数;
(4)
按本规范第3.2.2条的规定计算构件的最不利荷载(作用)效应组合设计值;
(5)
按本规范第7.1节的规定验算构件的耐火承载力;
(6)
当设定的防火保护层厚度过小或过大时,调整防火保护层厚度,重复上述(1)~(5)步骤。
7.1.1~7.1.6
本规范第7.1.1条~第7.1.6条规定了轴心受拉钢构件、轴心受压钢构件、单轴受弯钢构件、拉弯钢构件、压弯钢构件等基本钢构件的耐火承载力验算公式,这些公式与其常温下验算公式的形式一致,以便于设计人员掌握与应用。这些公式的推导原理与常温下钢构件的相同,不同之处在于考虑了温度对强度、弹性模量和稳定系数等的影响。
现行国家标准《钢结构设计规范》GB
50017规定,当受弯钢构件的稳定系数φb>0.6时,φb应取式(9)计算的φ′b。第7.1.4条的符号说明中,“当所计算的φb>0.6时,φb不作修正”是指在此情况下,不采用φ′b代替φb 。

7.1.7
框架梁上一般有楼板或其他支撑,起到侧向约束作用,可防止框架梁发生整体失稳,因此钢框架梁的耐火承载力取决于其截面强度。试验和理论研究发现,对于两端有一定轴向约束的框架梁,火灾下梁的轴力首先为压力,但随着梁挠曲变形的增大,由于悬链线效应,梁中轴压力将逐渐减小,直至为零,再变为拉力。随着轴向拉力的发展,梁仍能再承受较高些的温度才会发生强度破坏(图11)。因此,框架梁的耐火设计,可偏于安全地取梁中温度轴力为零时的状态,进行耐火承载力验算。

7.1.8
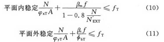
通常,框架柱受火时,相邻框架梁也会受影响而升温膨胀使框架柱受弯。分析表明,框架柱很可能因框架梁的受火温度效应而受弯形成塑性铰。为简化框架柱耐火设计,可偏于保守地假设柱两端屈服(图12),同时忽略框架柱另一方向弯矩的影响,则本规范第7.1.6条有关框架柱平面内、外稳定验算公式(7.1.6-1)、(7.1.6-3)可分别近似为:

由于框架柱的长细比一般较小,而两端反方向弯矩条件下βm和βt的平均值约为0.23,加上考虑所忽略的框架柱另一方向弯矩的影响,则本规范第7.1.6条式(7.1.6-1)、式(7.1.6-3)左端的第二项可近似取为0.3fT,框架柱的耐火验算可仅按式(7.1.8)进行。需注意,应分别针对框架柱的两个主轴方向,按式(7.1.8)进行验算。
