建筑钢结构防火技术规范
编号:GB51249-20177.2
临界温度法
Ⅰ 基本钢构件的临界温度
7.2.1
轴心受拉钢构件的临界温度Td应根据截面强度荷载比R按表7.2.1确定,R应按下式计算:

式中:N——火灾下钢构件的轴拉力设计值;
An——钢构件的净截面面积;
f——常温下钢材的强度设计值。

7.2.2 轴心受压钢构件的临界温度Td,应取临界温度T'd、T''d中的较小者。临界温度T'd应根据截面强度荷载比R按本规范第7.2.1条表7.2.1确定,R应按式(7.2.2-1)计算;临界温度T''d应根据构件稳定荷载比R'和构件长细比λ按表7.2.2确定,R'应按下列公式计算:

式中:N——火灾下钢构件的轴压力设计值;
A——钢构件的毛截面面积;
φ——常温下轴心受压钢构件的稳定系数。

注:表中λ为构件的长细比, fy为常温下钢材强度标准值。
7.2.3
单轴受弯钢构件的临界温度Td应取下列临界温度T'd、T''d中的较小者:
1 临界温度T'd应根据截面强度荷载比R按本规范第7.2.1条表7.2.1确定,R应按下式计算:

式中:M——火灾下钢构件最不利截面处的弯矩设计值;
Wn——钢构件最不利截面的净截面模量;
γ——截面塑性发展系数。
2
临界温度T''d应根据构件稳定荷载比R'和常温下受弯构件的稳定系数φb按表7.2.3确定T''d,R'应按下式计算:

式中:M——火灾下钢构件的最大弯矩设计值;
W——钢构件的毛截面模量;
φb——常温下受弯钢构件的稳定系数,应根据现行国家标准《钢结构设计规范》GB
50017的规定计算。

7.2.4
拉弯钢构件的临界温度Td,应根据截面强度荷载比R按本规范第7.2.1条表7.2.1确定,R应按下式计算:

式中:N——火灾下钢构件的轴拉力设计值;
Mx、My——火灾下钢构件最不利截面处对应于强轴和弱轴的弯矩设计值;
An——钢构件最不利截面的净截面面积;
Wnx、Wny——对强轴和弱轴的净截面模量;
γx、γy——绕强轴和绕弱轴弯曲的截面塑性发展系数。
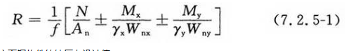
7.2.5
压弯钢构件的临界温度Td应取下列临界温度T'd、T''dx、T''dy中的最小者:
1 临界温度T'd应根据截面强度荷载比R按表7.2.1确定,R应按下式计算:

式中:N——火灾下钢构件的轴压力设计值。
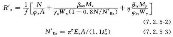
2 临界温度T''dx应根据绕强轴x轴弯曲的构件稳定荷载比R'x和长细比λx分别按表7.2.5-1和表7.2.5-2确定,R'x应按下列公式计算:

式中:Mx、My——火灾下所计算构件段范围内对强轴和弱轴的最大弯矩设计值;
Wx、Wy——对强轴和弱轴的毛截面模量;
N'Ex——绕强轴弯曲的参数;
Es——常温下钢材的弹性模量;
λx——对强轴的长细比;
φx——常温下轴心受压构件对强轴失稳的稳定系数;
φby——常温下均匀弯曲受弯构件对弱轴失稳的稳定系数,应按现行国家标准《钢结构设计规范》GB
50017的规定计算;
γx——绕强轴弯曲的截面塑性发展系数;
η——截面影响系数,对于闭口截面,η=0.7;对于其他截面,η=1.0;
βmx——弯矩作用平面内的等效弯矩系数,应按本规范第7.1.6条的规定计算;
βty——弯矩作用平面外的等效弯矩系数,应按本规范第7.1.6条的规定计算。
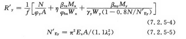
3
临界温度T''dy应根据绕强轴y轴弯曲的构件稳定荷载比R'y和长细比λy分别按表7.2.5-1和表7.2.5-2确定,R'y应按下列公式计算。

式中:N'Ey——绕强轴弯曲的参数;
λy——钢构件对弱轴的长细比;
φy——常温下轴心受压构件对弱轴失稳的稳定系数;
φbx——常温下均匀弯曲受弯构件对强轴失稳的稳定系数,应按现行国家标准《钢结构设计规范》GB
50017的规定计算;
γy——绕弱轴弯曲的截面塑性发展系数。
Ⅱ 钢框架梁、柱的临界温度
7.2.6 受楼板侧向约束的钢框架梁的临界温度Td可根据截面强度荷载比R按本规范第7.2.1条表7.2.1确定,R应按下式计算:

式中:M——钢框架梁上荷载产生的最大弯矩设计值,不考虑温度内力;
Wp——钢框架梁截面的塑性截面模量。
7.2.7
钢框架柱的临界温度Td可根据稳定荷载比R'按本规范第7.2.2条表7.2.2确定,R'应按下式计算:

式中:N——火灾时钢框架柱所受的轴压力设计值;
A——钢框架柱的毛截面面积;
φ——常温下轴心受压构件的稳定系数。
Ⅲ 防火保护层的设计厚度
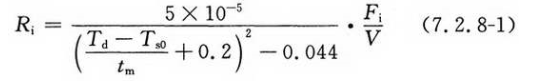
7.2.8
钢构件采用轻质防火保护层时,防火保护层的设计厚度可根据钢构件的临界温度按下列规定确定:
1
对于膨胀型防火涂料,防火保护层的设计厚度宜根据防火保护材料的等效热阻经计算确定。等效热阻可根据临界温度按下式计算:

2
对于非膨胀型防火涂料、防火板,防火保护层的设计厚度宜根据防火保护材料的等效热传导系数按式(7.2.8-2)计算确定。

式中:Ri——防火保护层的等效热阻(m2·℃/W);
Td——钢构件的临界温度(℃);
Ts0——钢构件的初始温度(℃),可取20℃;
tm——钢构件的设计耐火极限(s);当火灾热烟气的温度不按标准火灾升温曲线确定时,应取等效曝火时间;
Fi/V——有防火保护钢构件的截面形状系数(m-1);
di——防火保护层的设计厚度(m);
λi——防火保护材料的等效热传导系数[W/(m·℃)]。
7.2.9
钢构件采用非轻质防火保护层时,防火保护层的设计厚度应按本规范第6.2.2条的规定经计算确定。
条文说明
7.2
临界温度法
采用临界温度法进行钢结构耐火验算与防火保护设计时,可按下列步骤进行:
(1)
按本规范第3.2.2条计算构件的最不利荷载(作用)效应组合设计值;
(2)
根据构件和荷载类型,按本规范第7.2.1条~第7.2.7条计算构件的临界温度Td;
(3)
按本规范第6.2.1条计算无防火保护构件在设计耐火极限tm时间内的最高温度Tm;当Td>Tm时,构件耐火能力满足要求,可不进行防火保护;当Td≤Tm时,按步骤(4)、(5)确定构件所需的防火保护;
(4)
确定防火保护方法,计算构件的截面形状系数;
(5) 按本规范第7.2.8条、第7.2.9条确定防火保护层的厚度。
7.2.1~7.2.7
各类钢构件的临界温度,均是根据本规范第7.1节相应构件的耐火承载力验算公式,按构件达到耐火承载力极限状态时的温度为临界温度的定义,通过数值计算得到。
7.2.8、7.2.9
第7.2.8条中的式(7.2.8)是由本规范第6.2.3条式(6.2.3)变换得到,因此其适用条件为:火灾烟气温度按标准火灾升温曲线确定,防火保护层为轻质防火保护层,且临界温度不高于700
℃
。当不符合上述条件时,应按第7.2.9条确定防火保护层的厚度;本规范第6.2.2条式(6.2.2)为有防火保护的钢构件升温迭代公式,计算防火保护层的厚度需要多次试算,具体可按以下步骤进行:
(1)
假定防火保护层厚度,按本规范第6.2.2条式(6.2.2)计算钢构件在设计耐火极限时间内的最高温度Tm;
(2)
比较构件的临界温度Td和构件在火灾下的最高温度Tm,调整防火保护层厚度。当Tm大于Td时应增大防火保护层厚度,以新的防火保护层厚度按式(6.2.2)重新计算Tm,直至Tm小于Td;当Tm比Td小很多时应减小防火保护层厚度,以使防火保护经济。
根据本规范第5.3.2条、第5.3.3条,对于膨胀型防火涂料给出的是最大使用厚度、最小使用厚度的等效热阻以及防火涂料使用厚度按最大使用厚度与最小使用厚度之差的1/4递增的等效热阻,因此在计算所需的防火涂层厚度时,可据此采用线性插值方法计算确定其防火层厚度。