消防给水及消火栓系统技术规范
编号:GB50974-2014
颁布时间:2014/1/4
是否常用:是
是否有效:现行有效
分类:消防设施
10.1
水力计算
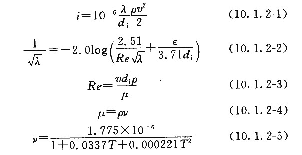
10.1.2 消防给水管道单位长度管道沿程水头损失应根据管材、水力条件等因素选择,可按下列公式计算:
1 消防给水管道或室外塑料管可采用下列公式计算:

式中:i——单位长度管道沿程水头损失(MPa/m);
di——管道的内径(m);
v——管道内水的平均流速(m/s);
ρ——水的密度(kg/m³);
λ——沿程损失阻力系数;
ε——当量粗糙度,可按表10.1.2取值(m);
Re——雷诺数,无量纲;
μ——水的动力黏滞系数(Pa/s);
v——水的运动黏滞系数(Pa/s);
T——水的温度,宜取10℃。
2 内衬水泥砂浆球墨铸铁管可按下列公式计算:

3 室内外输配水管道可按下式计算:

10.1.3 管道速度压力可按下式计算:

10.1.4 管道压力可按下式计算:
Pn=Pt-Pv (10.1.4)
式中:Pn——管道某一点处压力(MPa); Pt——管道某一点处总压力(MPa)。
10.1.5 管道沿程水头损失宜按下式计算:
Pf=iL
(10.1.5)
式中:Pf——管道沿程水头损失(MPa); L——管道直线段的长度(m)。
10.1.6 管道局部水头损失宜按下式计算。当资料不全时,局部水头损失可按根据管道沿程水头损失的10%~30%估算,消防给水干管和室内消火栓可按10%~20%计,自动喷水等支管较多时可按30%计。

注:1 当异径接头的出口直径不变而入口直径提高
Ⅰ级时,其当量长度应增大0.5倍;提高2级或2级以上时,其当量长度应增加1.0倍;
2 表中当量长度是在海澄威廉系数C=120的条件下测得,当选择的管材不同时,当量长度应根据下列系数作调整:
C=100,k1=0.713;C=120,k1=1.0;C=130,k1=1.16;C=140,k1=1.33;C=150,k1=1.51;
3 表中没有提供管件和阀门当量长度时,可按10.1.6-2提供的参数经计算确定。

10.1.7 消防水泵或消防给水所需要的设计扬程或设计压力,宜按下式计算:
式中:P——消防水泵或消防给水系统所需要的设计扬程或设计压力(MPa);
k2——安全系数,可取1.20〜1.40;宜根据管道的复杂程度和不可预见发生的管道变更所带来的不确定性;
H——当消防水泵从消防水池吸水时,H为最低有效水位至最不利水灭火设施的几何高差;当消防水泵从市政给水管网直接吸水时,H为火灾时市政给水管网在消防水泵入口处的设计压力值的高程至最不利水灭火设施的几何高差(m);
P0——最不利点水灭火设施所需的设计压力(MPa)。
10.1.8 市政给水管网直接向消防给水系统供水时,消防给水入户引入管的工作压力应根据市政供水公司确定值进行复核计算。
10.1.9 消火栓系统管网水力计算应符合下列规定:
1 室外消火栓系统的管网在水力计算时不应简化,应根据枝状或事故状态下环状管网进行水力计算;
2 室内消火栓系统管网在水力计算时,可简化为枝状管网。
室内消火栓系统的竖管流量应按本规范第8.1.6条第1款规定可关闭竖管数量最大时,剩余一组最不利的竖管确定该组竖管中每根竖管平均分摊室内消火栓设计流量,且不应小于本规范表3.5.2规定的竖管流量。
室内消火栓系统供水横干管的流量应为室内消火栓设计流量。
条文说明
10.1
水力计算
10.1.2 本条文给出了消防给水管道的沿程水头损失的计算公式。
我国在21世纪以前给水系统水力计算通常采用前苏联舍维列夫公式,随着2003年版的国家标准《建筑给水排水设计规范》GB
50015-2003采用欧美常用的海澄威廉公式后,2006年版国家标准《室外给水设计规范》GB
50013-2006采用达西等欧美公式后,我国给水排水已经基本不采用前苏联舍维列夫公式,本规范综合我国现行规范,采用达西等水力计算公式。沿程水头损失的计算公式很多,基本是前苏联的舍维列夫公式和欧美公式。
在水力计算时,其他的参数很容易就可以确定,管道粗糙度k的取值尤为关键。球墨铸铁管采用旋转喷涂的工艺,得到一个光滑的、均匀的水泥砂浆内衬。圣戈班穆松桥进行了一系列的试验,已经得出了内衬的粗糙度k值。其平均值为0.03mm,当和绝对光滑的管道ε=0比较时(计算流速为1m/s),对应的额外水头损失为5%~7%。不管怎样,管道的相关表面粗糙度不仅依赖于管道表面的均匀性,而且特别依赖于弯头、三通和其他连接形式的数量,如管线纵剖面的不规则性。经验显示ε=0.1对于配水管线来说是一个合理的数值。对于每千米只有几个管件的长距离的管线来说,ε的取值可以稍微地降低(可取系数0.6~0.8)。当然,ε的取值还应当包括其他因素的影响,如水质的不同等。圣戈班穆松桥进行ε值试验时的部分管道数据见表5。

10.1.6
本条文给出了管道局部水头损失的计算公式。管道局部水头损失按局部管道当量长度进行计算。
发达国家给出的管道管件和阀门等管道附件的局部管道当量长度,见表6。

注:由于旋启式止逆阀在设计方面的差异,需参考本表中所给出的管道当量。
表6是基于海澄威廉系数为C=120
时测试的数据,当海澄威廉系数变化时,其当量长度适当变化,则有C=100,k3=0.713;C=120,k3=1.0;C=130,k3=1.16;C=140,k3=1.33;C=150,k3=1.51,例如直径4英寸的侧向三通在C=150管道的当量长度为20/1.51=13.25英尺。
规范表10.1.6-1中关于U型过滤器和V型过滤器的数据来源《自动喷水灭火系统设计手册》。
表10.1.6-2数据来源于美国出版的《Fluid
Flow Handbook》中的有关数据。
10.1.7 本条规定了水泵扬程或系统入口供水压力的计算方法。
本次规范制订考虑水泵扬程有1.20~1.40的安全系数是基于以下几个原因,一是工程施工时管道的折弯可能增加不少,二是工程设计时其他安全因素的考虑,如管道施工某种原因造成的局部截面缩小等。
10.1.8 本条规定了消防给水系统由市政直接供水时的压力确定原则。
10.1.9 本条规定了消防给水水力计算的原则。
我国以前规范和手册中对消火栓给水系统没有提供有关室内消火栓系统计算原则,规范组根据工程实践总结提出了室内消火栓系统环状管网简化为枝状管网的计算原则,其原因是国内消火栓系统均存在最小立管流量和转输流量的问题,故采用常规的给水管网的计算方法不合适,因此综合简化为枝状管网。