气体消防系统选用、安装与建筑灭火器配置
编号:GJBT-1009
颁布时间:2007/6/1
是否常用:是
是否有效:现行有效
分类:消防设施
1
灭火剂用量计算
采用三氟甲烷灭火系统的防护区,灭火剂设计用量应根据防护区内可燃物相应的灭火设计浓度或惰化设计浓度经计算确定。
1.1.1
有爆炸危险的气体、液体火灾防护区,应采用惰化设计浓度;无爆炸危险的气体、液体火灾和固体表面火灾的防护区,应采用灭火设计浓度。
1.1.2
可燃物的灭火设计浓度不应小于该可燃物灭火浓度的1.3倍,可燃物的惰化设计浓度不应小于该可燃物惰化浓度的1.1倍。
1.1.3
当防护区有两种及两种以上可燃物共存或混合时,其灭火设计浓度或惰化设计浓度应按其最大者确定。

1.1.4
三氟甲烷灭火系统设计时,应按防护区的最小净容积和最高使用环境温度进行灭火剂浓度核算,其最高灭火设计浓度不应大于23.8%。
1.2
灭火剂浸渍时间应符合下列规定:
1.2.1 木材、纸张、织物等固体表面火灾不应小于20min;
1.2.2
可燃固体表面火灾不应小于10min;
1.2.3 通讯机房、电子计算机房等防护区火灾不应小于3min;
1.2.4
可燃气体或可燃液体火灾不应小于1min。
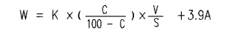
1.3 防护区灭火设计用量或惰化设计用量应按下式计算:

式中
W——防护区灭火设计用量或惰化设计用量(kg);
K——海拔高度修正系数(见本图集总说明第8.8.5表中数值);
C——三氟甲烷灭火设计浓度或惰化设计浓度(%);
S——防护区三氟甲烷过热蒸汽在101kPa和防护区最低设计环境温度下的比容(m3/kg);
S=0.3164+0.0012T[T为防护区的最低环境温度(℃)]
V——防护区净容积(m3);
A——防护区不能关闭的开口面积(m2)。
1.4
系统灭火剂储存量应为灭火设计用量或惰化设计用量与储存容器内的灭火剂剩余量及系统管网灭火剂剩余量之和。
1.4.1
储存容器内的灭火剂剩余量应根据生产企业提供的数据确定。
1.4.2
均衡管网内的灭火剂剩余量可不计,非均衡管网内的灭火剂剩余量应根据管网布置经计算确定。
1.4.3
组合分配系统中灭火剂储存量,应按储存量最大的防护区确定。
1.5
用于不可间断保护的防护区灭火系统应设备用量,备用量不应小于设计用量。备用量储存容器应能与主储存容器切换使用。