民用建筑电气设计标准
编号:GB51348-2019
颁布时间:2019/11/22
是否常用:是
是否有效:现行有效
分类:建筑防火
10.3
照度水平与照明质量
10.3.1
照明设计应根据建筑性质、等级标准、功能要求和使用条件等确定照明指标。各类建筑场所一般照明的照明标准值、照度均匀度及室内场所表面反射比,应符合现行国家标准《建筑照明设计标准》GB50034的规定。
10.3.2 各类视觉工作对应的照度范围宜按表10.3.2选取。

10.3.3
局部照明与一般照明共用时,工作面上一般照明的照度值宜为工作面总照度值的1/3~1/5,且不宜低于50lx。交通区照度不宜低于工作区照度的1/3。
10.3.4
民用建筑室内一般照明光源色表可根据其相关色温分为三类,其适用场所宜按表10.3.4选取。

10.3.5
照明光源的颜色特征与室内表面的配色宜互相协调,并应形成相应于房间功能的色彩环境。
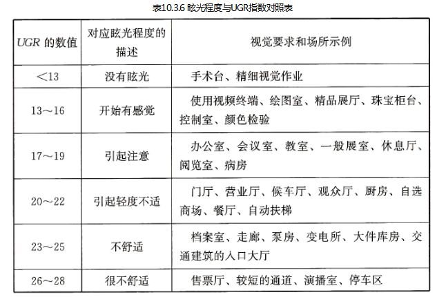
10.3.6
一般照明应根据视觉工作环境特点和眩光程度,合理确定对直接眩光限制的质量等级UGR(统一眩光值)。民用建筑中眩光限制等级宜符合表10.3.6的规定。

10.3.7
室内一般照明直接眩光的限制,应根据光源亮度、光源和灯具的表观面积、背景亮度以及灯具位置等因素进行综合确定。
10.3.8
对于要求统一眩光值UGR≤22的照明场所,可采取下列措施:
1
不得将灯具安装在干扰区内或可能对视觉形成镜面反射的区域内;
2 可使用发光表面面积大、亮度低、光扩散性能好的灯具;
3
可在视觉工作对象和工作房间内采用低光泽度的表面装饰材料;
4 可在视线方向采用特殊配光灯具或采取间接照明方式;
5 可采用混合照明;
6 可照亮顶棚和墙面以减小亮度比,并应避免出现光斑。
10.3.9
直接型灯具应控制视线内光源平均亮度与遮光角之间的关系,其最低允许值应符合现行国家标准《建筑照明设计标准》GB50034的规定。
10.3.10 长时间视觉工作场所内照度分布宜满足下列要求:
1
作业面照度、作业面邻近区照度和作业面背景区域一般照明照度之间的比值应符合现行国家标准《建筑照明设计标准》GB50034的规定;
2
当照明灯具采用嵌入式安装时,顶棚的反射系数宜大于0.6,且顶棚的照度不宜小于工作区照度的1/10;
3 墙面的平均照度不宜低于50lx。
10.3.11
垂直照度(Ev)与水平照度(Eh)之比可按下式确定:

条文说明
10.3.1、10.3.2 原规范条文,未作调整。
10.3.3
本条规定是本标准第10.2.1条的延伸。对于采用混合照明或采用分区一般照明方式的场所,由于视觉工作区域仅为整个区域中的一部分且照度指标明显高于周围区域,为了避免因视觉不适应而产生视觉疲劳或发生事故,一般照明占工作面总照度的1/3~1/5是比较合适的。50lx可以基本满足大多数非精细视觉活动的要求。
10.3.4 此条是原规范条文,根据CIE建议而定。其中Ⅰ类是用于住宅或寒冷地区;Ⅱ类适用于办公室等,应用范围较广;Ⅲ类适用于体育场馆等高照度场所或温暖气候地区。
10.3.5
如果室内表面颜色的彩色度较高,光源的光线将被强烈地选择吸收,使色彩环境发生显著变化而改变了原设计的色彩意图,从而不能满足功能要求。
10.3.6
参照CIE文件分为六个等级,对应眩光程度的文字描述参考了日本照明标准。现行国家标准《建筑照明设计标准》GB50034中虽没有明确标出级别,但实际上也是按照CIE文件进行区分的。
10.3.7 本条参照CIE和《建筑照明设计标准》GB50034-2013而定。统一眩光值UGR适用于下列条件:
1
适用于简单的立体型房间的一般照明装置,不适用于间接照明和发光顶棚;
2
适用于灯具发光部分对眼睛所形成的立体角为0.0003sr<ω<0.1sr的情况;
3 同一类灯具为均匀等间距布置;
4 灯具为双对称配光;
5 灯具高出人眼睛的安装高度。
应注意的是,对于室内体育馆等高空间高照度的场所,其照明环境已接近于室外照明环境,因此该类场所的眩光评价应采用GR,具体使用方法参照现行行业标准《体育场馆照明设计及检测标准》JGJ153。
10.3.8 参照CIE建议和《建筑照明设计标准》GB50034-2013提出的对反射眩光和光幕反射的防护措施。其主要内容是处理好光源与工作位置的关系,力求避免灯光从作业面向眼睛直接反射。
10.3.9
对于开启型灯具和下部装透明罩的直接型灯具规定了最小遮光角的要求。本条是参照CIE和《建筑照明设计标准》GB50034-2013的有关规定。
10.3.10
参考CIE建议而定。根据实验,室内环境与视觉作业相邻近的地方,其亮度应尽可能低于视觉作业的亮度,但不宜低于作业亮度的1/3。工作房间内为了减少灯具同其周围顶棚之间的对比,尤其是采用嵌入式安装灯具时,顶棚的反射系数应尽量提高,避免由于顶棚亮度太低形成“黑洞效应”。当采用亮度系数法计算室内亮度时,可根据理想的无光泽表面上的亮度计算公式求得。

10.3.11
条文规定是为使被照物体的造型具有立体效果。造型立体感评价指标目前有三种评价方法,即造型指数法
/E,(
为照度矢量,Es为标量照度又称平均球面照度);Ec/Eh法(Ec为半柱面照度)和Ev/Eh法。在上述方法中以
/Es法较为完善,但
的计算较繁杂,难以得到准确的结果,不利推广应用。Ec/Eh法实用价值较大,计算问题已基本解决,同时又不必另外规定光的照射方向(因向下直射时Ec=0,Ec/Eh=0,当光线来自水平方向时,Eh=0,Ec/Eh→∞,所以给出的量值已包含了光线方向因素),但计算仍较繁杂。本标准采用一种简单的表达照明方向性效果指标的方法即Ev/Eh(垂直照度与水平照度之比)不得小于0.25,当需要获得满意效果时则为0.5。