民用建筑电气设计标准
编号:GB51348-2019
颁布时间:2019/11/22
是否常用:是
是否有效:现行有效
分类:建筑防火
B.2
建筑物入户设施年预计雷击次数及可接受的最大年平均雷击次数计算

式中: N2——建筑物入户设施年预计雷击次数(次/a);
Ng——建筑物所处地区雷击大地的年平均密度[次/(k㎡
• a)J;
Td——年平均雷暴日(d/a);
A´e1 ——电源线缆入户设施的截收面积( k㎡),见表B.2. 1;
A´e2——信号线缆入户设施的截收面积(k㎡),见表B.2. 1

注: 1 L 为线路从所考虑建筑物至网络的第一个分支点或相邻建筑物的长度,单位为m
,最大值为1000m ,当L 未知时,应采用L=1000m;
2 ds,表示埋地引人线缆计算截收面积时的等效宽度,单位为m,其数值等于土壤电阻率,最大值取500m
。
B. 2. 2 建筑物及人户设施年预计雷击次数应按下式计算:

式中:
N——建筑物及入户设施年预计雷击次数(次/a);
N1——建筑物年预计雷击次数(次/a);
N2 ——建筑物入户设施年预计雷击次数(次/a
)。
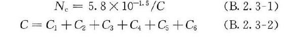
B. 2.3
因直击雷和雷电电磁脉冲引起电子信息系统设备损坏的可接受的最大年均雷击次数应按下列公式计算:

式中: NC——可接受的最大年均雷击次数(次/
a);
C——各类因子之和;
C1——信息系统所在建筑物材料结构因子;当建筑物屋顶和主体结构均为金属材料时,
C1取0.5
;当建筑物屋顶和主体结构均为钢筋混凝土材料时, C1 取1.0
;当建筑物为砖混结构时, C1 取1.5
;当建筑物为砖木结构时C1 取2.0
;当建筑物为木结构时,C1取2.5;
C2——信息系统重要程度因子;等电位联结和接地以及屏蔽措施较完善的设备, C2 取2.5 ;使用架空线缆的设备,
C2 取1.0 ;集成化程度较高的低电压微电流的设备, C2取3.0;
C3 ——电子信息系统设备耐冲击类型和抗冲击过电压能力因子;一般时C3 取0.5 ;较弱时C3取1.0 ;相当弱时C3 取3.0;
注: 一般指设备为《低压系统内设备的绝缘配合第1 部分:原理、要求和试验》GB/T
16935. 1 - 2008 中所指的I类安装位置设备,且采取了较完善的等电位联结、接地、线缆屏蔽措施;较弱指设备为《低压系统内设备的绝缘配合第1
部分:原理、要求和试验》GB/T 16935. 1 - 2008 中所指的I
类安装位置的设备,但使用架空线缆,因而风险大;相当弱指设备集成化程度很高,通过低电压、微电流进行逻辑运算的计算机或通信设备。
C4——电子信息系统设备所在雷电防护区(LPZ)的因子,设备在LPZ2 或更高层雷击防护区内时,C4取0.
5 ;设备在LPZ1 区内时, C4取1. 0
;设备在LPZ0B区内时,
C4 取1.
5~ 2.0;
C5——电子信息系统发生雷击事故的后果因子,信息系统业务中断不会产生不良后果时, C5 取0.
5 ;信息系统业务原则上不允许中断,但在中断后无严重后果时, C5 取1.
0 ;信息系统业务不允许中断,中断后会产生严重后果时, C5 取1.
5~ 2.0;
C6——区域雷暴等级因子;少雷区,C6 取0. 8 ;多雷区,C6 取1 ;高雷区, C6 取1. 2 ;强雷区, C6 取1. 4 。