民用建筑电气设计标准
编号:GB51348-2019
颁布时间:2019/11/22
是否常用:是
是否有效:现行有效
分类:建筑防火
B.1
建筑物年预计雷击次数的计算

式中 N1——建筑物年预计雷击次数(次/ a);
K——校正系数,在一般情况下取1 ,在下列情况下取下列数值:位于旷野孤立的建筑物取2 ;金属屋面的砖木结构建筑物取1. 7
;位于河边、湖边山坡下或山地中土壤电阻率较小处、地下水露头处、土山顶部、山谷风口等处的建筑物,以及特别潮湿的建筑物取1. 5;
Ng——建筑物所处地区雷击大地的年平均密度[次/ (Km².a)],按公式(B. 1. 2
)确定;
Ag——与建筑物截收相同雷击次数的等效面积( km² ),按公式(B. 1. 3-2 )、公式(B. 1. 3-3
)确定。B.1. 2
雷击大地的年平均密度按下式计算:

式中: Td一一年平均雷暴日(d/
a )。
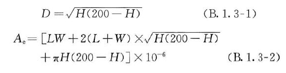
B.1. 3 建筑物等效面积Ae为其实际平面积向外扩大后的面积,其计算方法应符合下列规定:
1 建筑物的高度H < 100m
时,其每边的扩大宽度和等效面积应按下列公式计算确定:

式中: D一一建筑物每边的扩大宽度(m);
L
、W、H——建筑物的长、宽、高(m)。
建筑物平面积扩大后的等效面积Ae 为图B. 1. 3 中的虚线所包围的面积。
2 建筑物的高度H ≥100m 时,建筑物每边的扩大宽度D应按等于建筑物的高度H
计算。建筑物的等效面积应按下式计算:

3
当建筑物各部位的高度不同时,应沿建筑物周边逐点算出最大扩大宽度,其等效面积Ae 应按每点最大扩大宽度外端的连接线所包围的面积计算。
