民用建筑电气设计标准
编号:GB51348-2019
颁布时间:2019/11/22
是否常用:是
是否有效:现行有效
分类:建筑防火
22.3
供配电系统的谐波防治
22. 3.1 公共电网的电能质量应符合下列规定:
1 公共连接点的全部用户向该点注人的谐波电流分量(方均根值)不应超过表
22. 3. 1-1
的规定;

2 当公共连接点处的最小短路容量与基准短路容量不同时,谐波电流允许值应进行换算;
3 同一公共连接点的每个用户,向电网注入的谐波电流允许值,宜按此用户在该点的协议容量与其公共连接点的供电设备容量之比进行分配;
4 公共连接点的谐波电压(相电压)限值不应超过表
22. 3. 1-2的规定。

22.3.2 供配电系统的谐波治理,应符合下列规定:
1 谐波源设备较多的供配电系统宜选用
Dyn11联结组别的配电变压器。
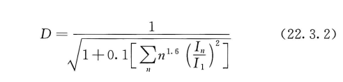
2 当配电变压器向非线性负荷供电时,变压器的降容系数D值应按下式计算,且变压器的实际负载率应在合理范围内。

式中: n—— 谐波次数;
In——n 次谐波电流;
I1 ——变压器额定电流的相对值,计算时设定 I1=1。
3 三级医院的医技楼、大型数据中心等建筑物,可在配电干线末端靠近谐波源处设置有源滤波装置。
4
谐波源较多的一般公共建筑,可在办公设施、计算机网络设备等配电干线上设置无源或有源滤波装置;当采用无源滤波装置时,应采取措施防止发生系统谐振。
5 建筑物谐波源较多的供配电系统,当设有有源或无源滤波装置且其谐波限值达标时,相应回路的中性导体截面积可不增大。
6 设有大功率谐波源的馈线上,可在靠近谐波源处设置有源或元源滤波装置。
7 剧院建筑中,舞台调光装置宜就近设置有源滤波器。
8 为 X 光机、 CT
机、核磁共振机等谐波较严重的大功率设备的供电专线,宜按低阻抗馈电线路的要求进行设计。
9 功率因数补偿电容器组可按其连接点的谐波特征频率配置电抗器。
22.3.3 有源滤波器的选用应符合下列规定:
1 宜选用并联型有源滤波器;
2 有源滤波器的额定补偿电流不宜小于装置连接点的总谐波电流或无功电流。
条文说明
22.3.1
表22.3.1-1中指标是指与该公共连接点相连的所有用户向该点注入的谐波电流分量或电压分量(方均根值)之和。对于专线接入的供电用户,表22.3.1-1中数据就是该用户谐波电流或谐波电压的上限,对于多个用户合用一条线路时,表22.3.1-2中限值按各用户的供电容量分摊。
公共连接点是指从市政电网引入的0.38(6、10)kV电源回路接到用户端主开关的这一点。
22.3.2
当配电变压器向非线性负荷供电且没有设置谐波吸收装置时,可根据按线性负荷计算所选变压器的额定容量、负荷率和谐波源的具体情况,由公式(22.3.2)计算出变压器在满负荷供电时因谐波源引起的降容系数D值之后,再判断按线性负荷计算所选择的变压器是否需要降低容量或扩容使用。公式(22.3.2)是法国、英国和美国相关标准使用的经验公式。
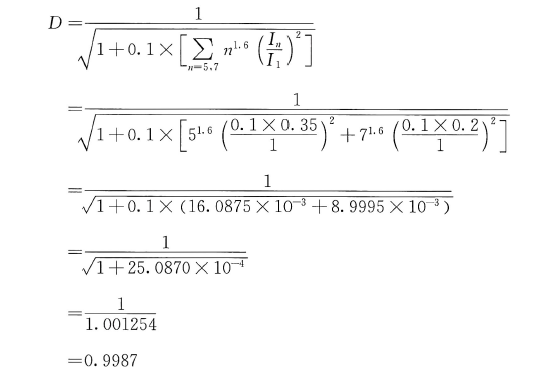
【例1】计算条件:设变压器额定电流的相对值I1=1;
谐波源:S=ST.e;HRI5%=35;HRI7%=20;
按cosφ算出的变压器负荷率β=0.9。

从计算结果看,在给定的技术条件下,变压器不需要降容,变压器还有9.87%的余量(99.87%-90%=9.87%)。
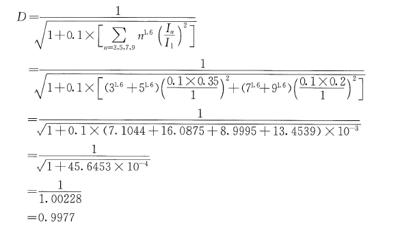
【例2】变压器对于正序、负序和零序混合谐波电流源降容系数D计算。
计算条件:设变压器额定电流的相对值I1=1;
谐波源1:S1=0.1ST.e;HRI5%=35;HRI7%=20;
谐波源2:S2=0.1ST.e; HRI3%=35;HRI9%=20;
按cosφ算出的变压器负荷率β=0.9。

从计算结果看,在给定的技术条件下,变压器不需要降容,变压器还有9.77%的余量(99.77%-90%=9.77%)。